|
|
|
|
|
Volver Menú Infonautic |
|
|
|
|
|
|
Radio BLU;
Frecuencias y Canales para
mejorar la comunicación

Utilizar la radio BLU requiere conocer qué
frecuencias son idóneas para cada zona, cada época del año,
o para cada distancia con la que deseemos comunicarnos. ¿Por
qué?
La
propagación de un campo electromagnético no debiera en principio
verse afectado por caprichos tan curiosos como la temperatura de
la atmósfera, la presencia de manchas solares en el sol o la
meteorología, y sin embargo estos y otros fenómenos alteran
completamente la propagación de las ondas de radio en diferente
medida, dependiendo de la frecuencia a la que oscila el campo
electromagnético.
Debemos
tener presente que dependiendo de la frecuencia a la que vibren
las ondas de radio, estas pueden reflejarse en la ionosfera
(entre los 60 y los 400 kilómetros de altura) o en la troposfera
(capa hasta los 17 kilómetros de altura) en distinta magnitud
para cada frecuencia de emisión. En algunas frecuencias no es
posible para nada las reflexiones en las capas altas de la
atmósfera y en otras, la radiación electromagnética se desplaza
en lo que se llaman ondas de tierra, únicamente por la
superficie.
Las
manchas solares suelen ser cíclicas y producen variaciones en la
propagación con períodos de 11 años. El ciclo sin embargo no es
simétrico y emplea de tres a cuatro años para variar del mínimo
al máximo y cerca de siete para volver de máximo a mínimo.
Además se han tomado datos de ciclos que duran nueve años en vez
de los once o por el contrario ciclos más largos de hasta 13
años o más.

|
Frecuencia |
Características de la propagación |
|
A:
100kHz hasta 400 kHz
|
La
recepción dependerá esencialmente de la potencia de la
estación. Se logran buenas transmisiones hasta distancia
de 1.500 kilómetros o incluso más. |
|
B:
400kHz hasta 1,5 MHz
|
Durante el día podremos recibir solo ondas de tierra hasta
300 kilómetros de distancia. En inviernos fríos puede
aumentar hasta algo más de 1.000 kilómetros.
Por
la noche se pueden producir saltos en la recepción y
podría aumentar la distancia de transmisión. |
|
C:
1,5 MHz hasta 3 MHz
|
Tanto de día como de noche, las condiciones son como en “B”
pero con posibilidad de lograr mucha más distancia.
|
|
D:
3 MHz hasta 8 MHz
|
Similar a “C”
pero con más facilidad para lograr transmisiones más
seguras, especialmente durante la noche. |
|
E:
8 MHz hasta 15 MHz
|
Es
la mejor banda de frecuencias para largas distancias, pero
la absorción de la onda que viaja en tierra limita la
recepción local. Por la noche tendremos las condiciones
óptimas de propagación que pueden varias durante las
diferentes épocas del año. |
|
F:
15 MHz hasta 25 MHz
|
Tan
buena como la anterior o incluso mejor, pero bastante
influenciable de las condiciones particulares de
propagación. Por la noche es normalmente deficiente en
largas distancias. |
|
G:
25 MHz hasta 45 MHz
|
Se
muestra extremadamente sometida a las condiciones
particulares de la atmósfera. A veces puede ser muy buena
y en muchas otras es nefasta. Por la noche solo es valida
para la recepción local. |
|
H:
45 MHz hasta 120 MHz
|
Utilizada para establecer comunicaciones locales, aunque
cuando existen condiciones atmosféricas de altas presiones
puede funcionar a varios cientos de kilómetros de
distancia. |
|
I:
125 MHz hasta 250 MHz |
Como
en “H” pero aún
más caprichoso y variable. |
|
Prácticas de
radiocomunicaciones

La
DGMM obliga a realizar prácticas de radio mediante
simuladores como requisito indispensable para obtener las
diferentes titulaciones náuticas. Estas prácticas de radio
se realizan según el programa establecido y con una
duración diferente dependiendo de la titulación.
|
Frecuencias
de radio marítimas
<
30 MegaHercios

Coincidiendo
con algunas de las bandas descritas en la tabla anterior,
existen frecuencias concretas utilizadas para usos muy
determinados como son señales de socorro, avisos de meteo, o
frecuencias reservadas para usos especiales. Algunas son
utilizadas por los servicios aéreos (AERO-SAR) que operan
en conjunción con los marítimos en operaciones de rescates, en
avisos de socorro o de seguridad. Otras son utilizadas
exclusivamente para transmisiones de información marítima de
seguridad (MSI) en el servicio móvil marítimo, como por
ejemplo avisos meteorológicos, avisos de navegación o
informaciones urgentes, por estaciones costeras.
Las
frecuencias denominadas MSI-HF son utilizadas por el
servicio móvil marítimo para transmisiones sobre seguridad en
alta mar empleando telegrafía de impresión directa en banda
estrecha. Las denominadas NBDP-COM se reservan
exclusivamente para comunicaciones de socorro y seguridad en
impresión directa en banda estrecha. Las RTP-COM son
también de socorro y seguridad pero en radiotelefonía.
Para información detallada de
frecuencias concretas, puede consultar el “ladrillo” que
publicamos a continuación.
|
Frecuencia (kHz) |
Descripción de la utilización |
Notas |
|
490 |
MSI |
La
frecuencia 490 kHz se utilizará exclusivamente para
información marítima de seguridad (MSI) una vez
establecido plenamente el SMSSM. |
|
518 |
MSI |
La
frecuencia 518 kHz se utiliza exclusivamente por el
sistema NAVTEX internacional. |
|
2.174,5 |
NBDP-COM |
|
|
2.182 |
RTP-COM |
La
frecuencia 2.182 kHz utiliza la clase de emisión J3E.
|
|
2.187,5 |
DSC |
|
|
3.023 |
AERO-SAR |
Las
frecuencias portadoras aeronáuticas 3 023 kHz y 5 680 kHz
pueden utilizarse para la intercomunicación entre
estaciones móviles que participan en operaciones
coordinadas de búsqueda y salvamento y para establecer
comunicaciones entre esas estaciones y las estaciones
terrestres participantes. |
|
4.125 |
RTP-COM |
La
frecuencia portadora 4.125 kHz puede ser utilizada por las
estaciones de aeronave para comunicarse con estaciones del
servicio móvil marítimo en casos de socorro y seguridad,
incluida la búsqueda y salvamento |
|
4.177,5 |
NBDP-COM |
|
|
4.207,5 |
DSC |
|
|
4.209,5 |
MSI |
La
frecuencia 4.209,5 kHz se utiliza exclusivamente para las
transmisiones de tipo NAVTEX |
|
4.210 |
MSI-HF |
|
|
5.680 |
AERO-SAR |
Véase la nota relativa a la frecuencia 3.023 kHz. |
|
6.215 |
RTP-COM |
|
|
6.268 |
NBDP-COM |
|
|
6.312 |
DSC |
|
|
6.314 |
MSI-HF |
|
|
8.291 |
RTP-COM |
|
|
8.376,5 |
NBDP-COM |
|
|
8.414,5 |
DSC |
|
|
8.416,5 |
MSI-HF |
|
|
12.290 |
RTP-COM |
|
|
12.520 |
NBDP-COM |
|
|
12.577 |
DSC |
|
|
12.579 |
MSI-HF |
|
|
16.420 |
RTP-COM |
|
|
16.695 |
NBDP-COM |
|
|
16.804,5 |
DSC |
|
|
16.806,5 |
MSI-HF |
|
|
19.680,5 |
MSI-HF |
|
|
22.376 |
MSI-HF |
|
|
26.100,5 |
MSI-HF |
|
Frecuencias
de radio marítimas > 30 MegaHercios

Para frecuencias por encima de los
30 MegaHercios, ondas conocidas como métricas y decimétricas,
publicamos otra tabla de parecidas características a la anterior
("otro ladrillo"), en el que las referencias a
las siglas D&S-OPS indican una frecuencia limitada a operaciones
de socorro y seguridad de las radiobalizas de localización de
siniestros por satélite. Las frecuencias conocidas como SAT-COM también
son utilizadas en operaciones de socorro y seguridad en el
servicio móvil marítimo por satélite y lo mismo ocurre con las
frecuencias VHF-CH#, donde CH# indica el canal de VHF reservado.
|
Frecuencia
(MHz) |
Descripción de la utilización |
Notas |
|
*121,5 |
AERO-SAR |
La
frecuencia aeronáutica de emergencia de 121,5 MHz es
utilizada para fines de socorro y urgencia en
radiotelefonía, por las estaciones del servicio móvil
aeronáutico que emplean frecuencias en la banda
comprendida entre 117,975 MHz y 137 MHz. Esta frecuencia
también puede utilizarse con este fin por las estaciones
de las embarcaciones o dispositivos de salvamento. Las
radiobalizas de localización de siniestros utilizan la
frecuencia de 121,5 MHz Las estaciones móviles del
servicio móvil marítimo pueden comunicarse con estaciones
del servicio móvil aeronáutico en la frecuencia
aeronáutica de emergencia de 121,5 MHz con fines de
socorro y urgencia únicamente y en la frecuencia
aeronáutica auxiliar de 123,1 MHz para operaciones
coordinadas de búsqueda y salvamento. |
|
123,1 |
AERO-SAR |
La
frecuencia aeronáutica auxiliar de 123,1 MHz, que es la
frecuencia auxiliar de la frecuencia aeronáutica de
emergencia de 121,5 MHz, es utilizada por las estaciones
del servicio móvil aeronáutico y por otras estaciones
móviles y terrestres que participan en operaciones
coordinadas de búsqueda y salvamento. |
|
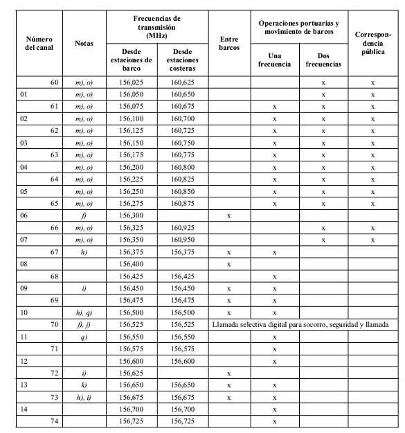
156,3 |
VHF-CH06 |
La
frecuencia 156,3 MHz puede utilizarse para comunicaciones
entre las estaciones de barco y de aeronave que participen
en operaciones coordinadas de búsqueda y salvamento.
|
|
*156,525 |
VHF-CH70 |
La
frecuencia de 156,525 MHz se utiliza en el servicio móvil
marítimo para llamadas de socorro y seguridad empleando la
llamada selectiva digital (DSC) |
|
156,650 |
VHF-CH13 |
La
frecuencia de 156,650 MHz se utiliza en las comunicaciones
de barco a barco relativas a la seguridad de la
navegación. |
|
*156,8 |
VHF-CH16 |
La
frecuencia de 156,8 MHz se utiliza para las comunicaciones
de socorro y seguridad en radiotelefonía. Además, la
frecuencia de 156,8 MHz puede ser utilizada por las
estaciones de aeronave con fines de seguridad
exclusivamente. |
|
*406-406,1 |
406-EPIRB |
Esta
banda de frecuencia es utilizada exclusivamente por las
radiobalizas de localización de siniestros por satélite en
el sentido Tierra-espacio. |
|
1 530-1 544 |
SAT-COM |
Además de estar disponible para las comunicaciones
ordinarias no relacionadas con la seguridad, la banda
1.530-1.544 MHz se utiliza para fines de socorro y
seguridad en el sentido espacio‑Tierra en el servicio
móvil marítimo por satélite. |
|
1.544-1.545 |
D&S-OPS |
La
utilización de la banda 1.544-1.545 MHz (espacio-Tierra)
se limita a las operaciones de socorro y seguridad,
incluidos los enlaces de conexión de satélites necesarios
para la retransmisión de las emisiones de radiobalizas de
localización de siniestros por satélite hacia las
estaciones terrenas y los enlaces (espacio-Tierra) de
banda estrecha de las estaciones espaciales hacia las
estaciones móviles. |
|
1.626,5-1.645,5 |
SAT-COM |
Además de estar disponible para las comunicaciones
ordinarias no relacionadas con la seguridad, la banda
1.626,5-1.645,5 MHz se utiliza para fines de socorro y
seguridad en el sentido Tierra‑espacio en el servicio
móvil marítimo por satélite. |
|
1.645,5-1.646,5 |
D&S-OPS |
La
utilización de la banda 1 645,5-1 646,5 MHz
(Tierra-espacio) se limita a las operaciones de socorro y
seguridad incluidas las transmisiones de radiobalizas de
localización de siniestros por satélite y la retransmisión
a satélites geoestacionarios de las alertas de socorro
recibidas por satélites en órbita polar baja. |
|
9.200-9.500 |
SARTS |
Esta
banda de frecuencias es utilizada por los transpondedores
de radar para facilitar las operaciones de búsqueda y
salvamento. |

Artículos relacionados:
-
Elegir la
frecuencia en una radio BLU
-
Comunicaciones en
larga distancia, ¿Satelital o BLU?
-
Antenas marinas,
la clave para una buena comunicación
-
Navegando por
internet: satélite o radios BLU
-
VHF a fondo
-
El alcance de las
VHF
-
Transponder
-
La navegación del
futuro ya está aquí se llama AIS
|
|
|
|
|
|
|
|
©
Copyright 2009 Fondear, S.L.
|
|